2024年1月,中国科学院安徽光学精密机械研究所的黄印博、曹振松团队发表了一篇文章,该文章通过分析大气输送的反向轨迹,研究了水蒸气密度与大气运动之间的关系,并确定H2O柱状密度和HDO/H2O比例的变化与大气运动有关系。
青藏高原被称为世界的“第三极”,其环境变化深刻影响着东亚甚至全球气候。HDO是水蒸气的稳定同位素,是研究水循环的理想示踪剂,并且常用于大气环流和气候研究。黄印博、武鹏飞团队于2019年8月在格尔木地区使用便携式激光外差辐射计(Laser Heterodyne Radiometer, LHR)获取了大气中HDO和H2O的吸收光谱,并采用最优估计方法检测了HDO和H2O的密度,得到H2O的平均柱状密度为1.22,在观测期间格尔木的HDO/H2O比例为178±15×10-6。
【测试方法&部分测试结果】

图1 激光外差光谱技术流程
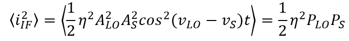
激光外差光谱技术利用窄线宽激光器与输入光信号混合。外差检测器(Heterodyne Detector)理论上可产生的总光电流值为:
其中ALO和AS分别是激光信号和输入光信号的振幅,νLO分别νS是激光信号和输入光信号的频率,η是检测器的效率。公式的第二项是混频信号,其功率为:

当输入光信号功率较弱时,它所携带的光强信息可以通过局部振荡器(Local Oscillator, LO)产生的光信号进行放大。生成的混频信号经过滤波、检测和解调处理,得到大气气体的吸收光谱信号。
图2 (a)激光外差辐射计和 (b)紧凑外差模型 的布局
激光外差辐射计由三个模块组成:太阳追踪模块、混频模块和信号处理模块。太阳光被太阳追踪器捕获并与局部振荡器产生的光信号混合,为了增强混频信号,振荡光信号和太阳光信号的混合比约为激光外差辐射计由三个模块组成:太阳追踪模块、混频模块和信号处理模块。太阳光被太阳追踪器捕获并与局部振荡器产生的光信号混合,为了增强混频信号,振荡光信号和太阳光信号的混合比约为10%:90%。混合光通过斜轴抛物面(off-axis parabolic, OAP)聚焦并输入到检测器中。然后,介质信号由射频设备处理,并使用锁相放大器OE1201解调。
测量得到的混频光谱通过最优估计方法(Optimal Estimation Method,OEM)进行反演,该方法由C. Rodgers开发,广泛用于大气反演,可以通过自设参数(如大气层、迭代次数和迭代类型)获得可信的结果。HDO和H2O反演的流程如图3所示。

图3 反演流程图

图4 测量和反演拟合光谱
采用OEM方法后,得到了更准确的符合测量光谱的拟合。在反演过程中分别获取了HDO和H2O的吸收光谱。其中一组测量和反演拟合光谱如图4所示:蓝线为HDO的拟合光谱,绿线为H2O的拟合光谱,红线为反演拟合的合成光谱。残留光谱小于±0.1 V。

图5 8月2日测量得到的(a)先验剖面、H2O和HDO的反演剖面变化曲线,(b)HDO/H2O的比值曲线
图5 的测量结果提供了范围在10公里以下的大气中HDO和H2O分布的信息。在上层大气中,HDO和H2O的密度明显较低,并且激光外差辐射计的灵敏度不足以检测它们。而在这个范围内反演得到的值几乎与先验剖面相同,表明基于更高灵敏度和更全面的反演算法,可以在较低对流层内利用激光外差辐射计反演出H2O和HDO的剖面。
【总结】
2019年8月,黄印博、曹振松团队成功在格尔木地区使用自建的3.66μm的激光外差辐射计获取大气中HDO和H2O的吸收光谱,在实验期间的平均柱状密度为1.07至1.4g/cm2,在观测期间格尔木的HDO/H2O比例为163×10-6至193×10-6。在光谱研究过程中,黄印博、武鹏飞团队根据高度网格的分析优化了检索过程中的高度间隔,通过精细化的高度层减少了冗余信息。同时该研究采用反向轨迹分析来研究H2O(HDO)密度与大气运动之间的关系,并根据观测结果说明气流的起源和路径能够对H2O密度和同位素丰度产生影响。
审核编辑 黄宇







